852 Views
Category: Care Strategies for Transplant Patients
Poster Session: Care Strategies for Transplant Patients
Yiyun Shi
Medicine resident
Warren Alpert Medical School of Brown University
Providence, Rhode Island
Disclosure: I do not have any relevant financial / non-financial relationships with any proprietary interests.
Ralph Rogers
Assistant Professor of Medicine, Clinician Educator
Warren Alpert Medical School of Brown University
Providence, Rhode Island
Disclosure: I do not have any relevant financial / non-financial relationships with any proprietary interests.
Kendra Vieira
Research Assistant
Warren Alpert Medical School of Brown University
Providence, Rhode Island
Disclosure: I do not have any relevant financial / non-financial relationships with any proprietary interests.
Basma Merhi
Attending physician
Divisions of Nephrology, the Warren Alpert Medical School of Brown University
providence, Rhode Island
Disclosure: I do not have any relevant financial / non-financial relationships with any proprietary interests.
Adena Osband
Attending physician
Department of Surgery (Transplantation), the Warren Alpert Medical School of Brown University
providence, Rhode Island
Disclosure: I do not have any relevant financial / non-financial relationships with any proprietary interests.
George Bayliss
Attending physician
Divisions of Nephrology, the Warren Alpert Medical School of Brown University
providence, Rhode Island
Disclosure: I do not have any relevant financial / non-financial relationships with any proprietary interests.
Reginald Gohh
Attending physician
Divisions of Nephrology, the Warren Alpert Medical School of Brown University
providence, Rhode Island
Disclosure: I do not have any relevant financial / non-financial relationships with any proprietary interests.
Paul Morrissey
Attending physician
Department of Surgery (Transplantation), the Warren Alpert Medical School of Brown University
providence, Rhode Island
Disclosure: I do not have any relevant financial / non-financial relationships with any proprietary interests.
Dimitrios Farmakiotis
Assistant Professor, Director of Transplant and Oncology ID
Division of Infectious Diseases, The Warren Alpert Medical School of Brown University
Providence, Rhode Island
Disclosure: Astellas (Grant/Research Support)
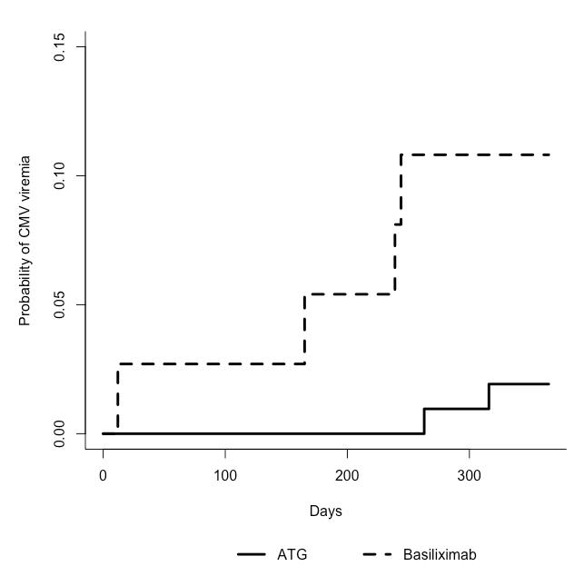
Fig 1. Probability of CMV viremia in KTR who received ATG vs. basiliximab induction.
Fig 2. Probability of CMV viremia in KTR who received full-dose vs. half-dose VGV prophylaxis..png)