397 Views
Category: Infections in Immunocompromised Individuals
Poster Session: Infections in Immunocompromised Individuals
Joanne Reekie
Senior Researcher
Centre of Excellence for Health, Immunity and Infections (CHIP) & PERSIMUNE, Copenhagen University Hospital, Rigshospitalet, Copenhagen, Denmark
Copenhagen, Hovedstaden, Denmark
Disclosure: I do not have any relevant financial / non-financial relationships with any proprietary interests.
Mark P. Khurana
Dr
Centre of Excellence for Health, Immunity and Infections (CHIP), Department of Infectious Diseases, Rigshospitalet, Copenhagen, Denmark
Copenhagen, Hovedstaden, Denmark
Disclosure: I do not have any relevant financial / non-financial relationships with any proprietary interests.
Isabelle P. Lodding
Dr
Centre of Excellence for Health, Immunity and Infections (CHIP), Department of Infectious Diseases, Rigshospitalet, Copenhagen, Denmark
Copenhagen, Hovedstaden, Denmark
Disclosure: I do not have any relevant financial / non-financial relationships with any proprietary interests.
Christina Ekenberg
Dr
Centre of Excellence for Health, Immunity and Infections (CHIP), Department of Infectious Diseases, Rigshospitalet, Copenhagen, Denmark
Copenhagen, Hovedstaden, Denmark
Disclosure: I do not have any relevant financial / non-financial relationships with any proprietary interests.
Finn Gustafsson
Professor
Department of Cardiology, University of Copenhagen, Copenhagen, Denmark
Copenhagen, Hovedstaden, Denmark
Disclosure: I do not have any relevant financial / non-financial relationships with any proprietary interests.
Marie Helleberg
Consultant
Rigshospitalet, Copenhagen University Hospital
Copenhagen, Hovedstaden, Denmark
Disclosure: I do not have any relevant financial / non-financial relationships with any proprietary interests.
Amanda Mocroft
Professor
CREME, Institute for Global Health, University College London, London, United Kingdom
London, England, United Kingdom
Disclosure: I do not have any relevant financial / non-financial relationships with any proprietary interests.
Michael Perch
Associate Clinical Professor
University of Copenhagen
Copenhagen, Hovedstaden, Denmark
Disclosure: I do not have any relevant financial / non-financial relationships with any proprietary interests.
Allan Rasmussen
Dr
Department of Abdominal Surgery, Rigshospitalet, University of Copenhagen, Copenhagen, Denmark,
Copenhagen, Hovedstaden, Denmark
Disclosure: I do not have any relevant financial / non-financial relationships with any proprietary interests.
Søren S. Sørensen
Professor
Department of Nephrology, Rigshospitalet, University of Copenhagen, Copenhagen, Denmark
Copenhagen, Hovedstaden, Denmark
Disclosure: I do not have any relevant financial / non-financial relationships with any proprietary interests.
Jens Lundgren
Professor
Rigshospitalet, University of Copenhagen
Copenhagen, Hovedstaden, Denmark
Disclosure: I do not have any relevant financial / non-financial relationships with any proprietary interests.
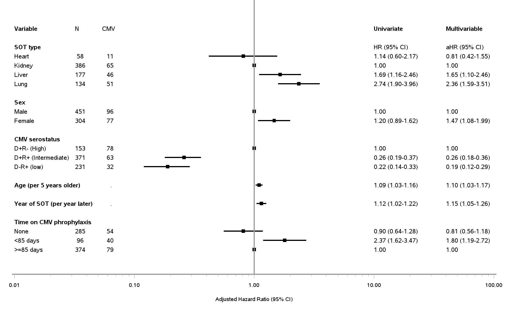
Figure 2 Factors associated with CMV infection in the first year from baseline. Baseline was defined either the date of transplant (n=285) or stopping CMV prophylaxis (n=470).
Figure 4 Factors associated with recurrent CMV infection within 6 months of stopping treatment for the first CMV infection.png)