Yonsei University Incheon, Inch'on-jikhalsi, Republic of Korea
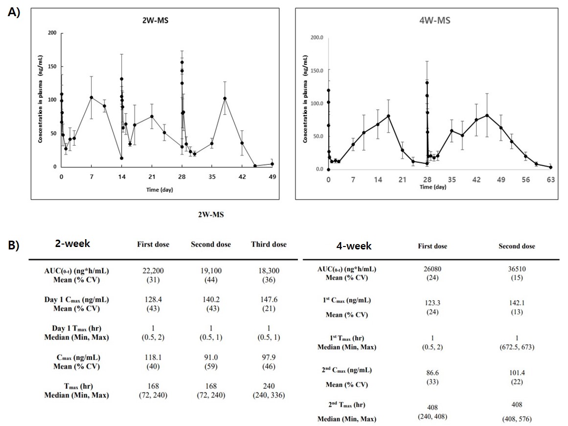
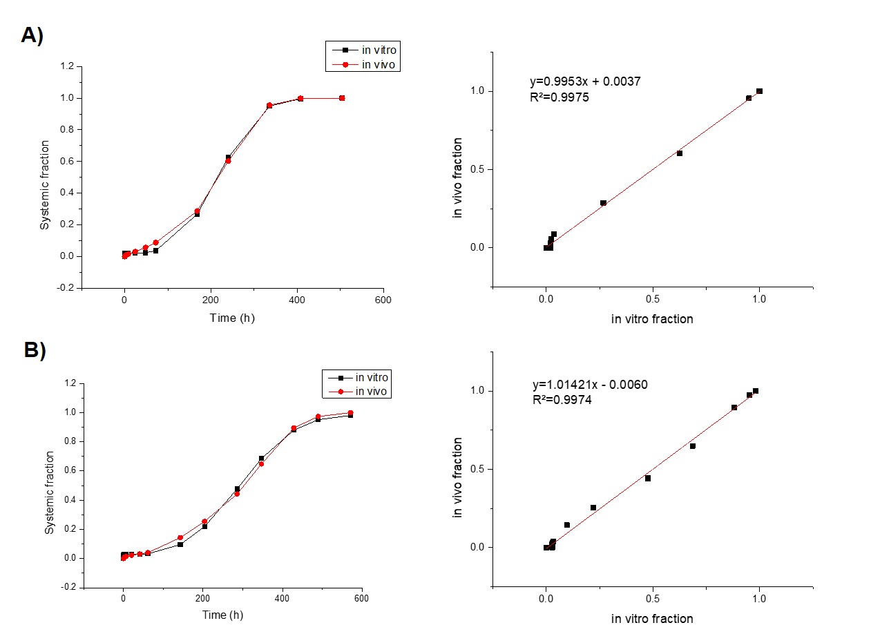
Purpose: In this study, we evaluate 2-week and 4-week long-acting microsphere formulations for pharmacokinetics and pharmacodynamics. Apixaban which is factor Xa inhibitor can prevent venous thromboembolism (VTE). Direct oral anticoagulant (DOAC) therapy is recommended to prevent and treat venous thrombosis. This study is conducted to confirm the drug had an effect dependent on the concentration of the apixaban by comparing the inverse correlation between the pharmacokinetic data and the pharmacodynamic data obtained by intramuscular injection of apixaban microspheres into rat model. Methods: In vitro release study - In-vitro drug-release study for apixaban-loaded microspheres was conducted by using phosphate-buffered saline (PBS; pH 7.4; isotonic-300 mOsmol/Kg) as dissolution medium containing 0.2% sodium lauryl sulfate (SLS) as a surfactant to maintain sink condition. A sample of the collected supernatant was determined by HPLC to measure the concentration of apixaban and cumulative percent apixaban release was calculated. Pharmacokinetics - Blood samples were collected from the tail vein at each sampling points. Collected blood samples mixed with 3.2% sodium citrate aqueous solution in 9:1 ratio. Then centrifuged for 10 minutes at 13,000 rpm. The plasma apixaban concentration was analyzed according to our LC-MS/MS method. The PK parameters were analyzed using the PK plus module of Gastroplus (Simulations Plus, Inc., Lancaster, California, USA). Dispersed apixaban loaded microspheres were administered into the front thigh by intramuscular injections at 90 mg/kg for 2 weeks long acting microsphere formulations and 180 mg/kg for 4 weeks long acting microsphere formulations at a single dose. In addition, the administration was repeated 3 times and 1 time, respectively, at intervals of 2 weeks and 4 weeks. IVIVC - A two-stage modeling process was applied to evaluate the IVIVC for apixaban loaded microspheres according to a former literature. First, in vivo absorption data of apixaban microspheres in rats were obtained by the deconvolution of the plasma concentration data, in which the in vivo results of apixaban suspension after injection administrated to rats were used as weight function. Then the in vivo absorption profile obtained is connected to the time course of the in vitro release profile. Pharmacodynamics - Factor Xa activity was measured using Factor Xa Kit (Diapharma, West Chester, OH) to evaluate the pharmacological effects of apixaban according to the mechanism of action. The absorbance of the samples was measured using Infinite ® 200 pro (Tecan, Männedorf, Switzerland). Measurements were performed at 405 nm for each well. Statistical analysis - Data were presented as mean ± standard deviation. Significant differences were determined using analysis of variance (ANOVA). Results were considered significant if P < 0.05. Calculations were performed using JMP program. Results: In the single dose 2-week long acting apixaban microsphere formulation, the drug concentration was the highest in 10 days (Tmax) except for the initial burst. After 10 days, the apixaban eliminated in the body until 14 days, and the drug was not detected after 21 days. The single dose 4-week long acting apixaban microsphere formulation also had the highest drug concentration on the 17th (Tmax), then eliminated, and drug was not detected in the body on the 35th day. The Factor Xa inhibitory effect is analyzed by OD (optical density) value. Figure 1 A) and B) showed Blank plasma has about 0.45 OD and OD values are inversely correlated with blood concentrations. Figure 1 C) and D) showed the correlation as a correlation coefficient value in the ANOVA analysis to see whether the 2-week and 4-week formulation are statistically significant. In the lack of fit analysis, it was confirmed that the model was suitable for analysis, and in the analysis of variance, it was confirmed that the number of samples of the model was appropriate. Figure 2 A) and B), it was confirmed that a similar Cmax value was reached at each repeated administration, and elimination was confirmed after 2 and 4 weeks. Figure 3 C) and D) show the coefficient of determination between the in vitro release and the in vivo systemic fraction. The values of the 2-week and 4-week formulations were similar, and the shapes of the two graphs were similar. Conclusion: It was confirmed that apixaban was present in the body up to 14 days for the 2-week formulation and up to 28 days for the 4-week formulation. The Factor Xa inhibitory effect of apixaban in the body showed an inverse correlation when compared with the blood concentration graph. When comparing multiple groups in the JMP program, we performed ANOVA, a hypothesis testing method, and found that the results of the 2-week and 4-week formulations were statistically suitable models. Through the IVIVC graph, the in vitro and in vivo correlations of the 2-week and 4-week formulations were confirmed, and it was confirmed that the blood drug concentration increased and then eliminated when the apixaban microsphere was administered repeatedly. References: He, K., Luettgen, J.M., Zhang, D., He, B., Grace, J.E., Jr., Xin, B., Pinto, D.J., Wong, P.C., Knabb, R.M., Lam, P.Y., Wexler, R.R., Grossman, S.J., 2011. Preclinical pharmacokinetics and pharmacodynamics of apixaban, a potent and selective factor Xa inhibitor. Eur J Drug Metab Pharmacokinet 36, 129-139.
Acknowledgements: This work was supported by the Mid-Career Researcher Program (No. NRF-2021R1A2C2008834) and Basic Research Infrastructure Support Program (University-Centered Labs-2018R1A6A1A03023718) through the National Research Foundation of Korea (NRF) funded by the Korean government (MSIT).
Figure 1. Plasma apixaban concentration and factor Xa activity following single I.M administration of apixaban loaded microsphere A) 2-week long acting microsphere B) 4-week long acting microsphere C) Correlation analysis between the value of factor Xa activity and plasma apixaban concentration in JMP program 2-week long acting microspehre and D) 4-week long acting microsphere
Figure 2. A) Plasma apixaban concentration in rats following repeat dose administration of APX loaded 2-week and 4-week long acting microsphere B) PK parameters in rats following repeat dose administration of APX loaded 2-week and 4-week long acting microsphere
Figure 3. In vitro and in vivo correlation of A) 2-week long acting microsphere and B) 4-week long acting microsphere