Poster Session A
Rheumatoid arthritis (RA)
Ching-Tsai Lin, MD
Taichung Veterans’ General Hospital
Taichung, Taiwan
Table 1. Cox regression analysis of factors associated with risks of mortality in elderly-onset rheumatoid arthritis
Figure 1. (A) The overall 10-year Kaplan-Meier survival probability of hydroxychloroquine and non-hydroxychloroquine group, and (B) the overall 5-year Kaplan-Meier survival probability stratified by monthly cumulative dose of hydroxychloroquine with ≧5778.5mg, 5778.5-1374.5mg and < 1374.5mg in elderly-onset rheumatoid arthritis patients.
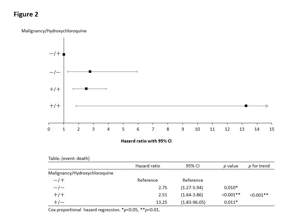
Figure 2: Risk of mortality in elderly-onset rheumatoid arthritis patients stratified by the presence of malignancy and the use of hydroxychloroquine. Error bars represent the 95% confidence intervals (CI) of the Hazard ratios (HR).