Poster Session B
Juvenile idiopathic arthritis (JIA) and pediatric joint disorders
Daniel Horton, MD, MS
Rutgers Robert Wood Johnson Medical School
New Brunswick, NJ, United States
Table. Characteristics of US commercially insured children diagnosed with JIA pre-pandemic (Mar 2017-Feb 2020) and during the pandemic (Mar 2020-Feb 2021). Socioeconomic status quartile was based on census tract data from the American Community Survey (2013-2017).
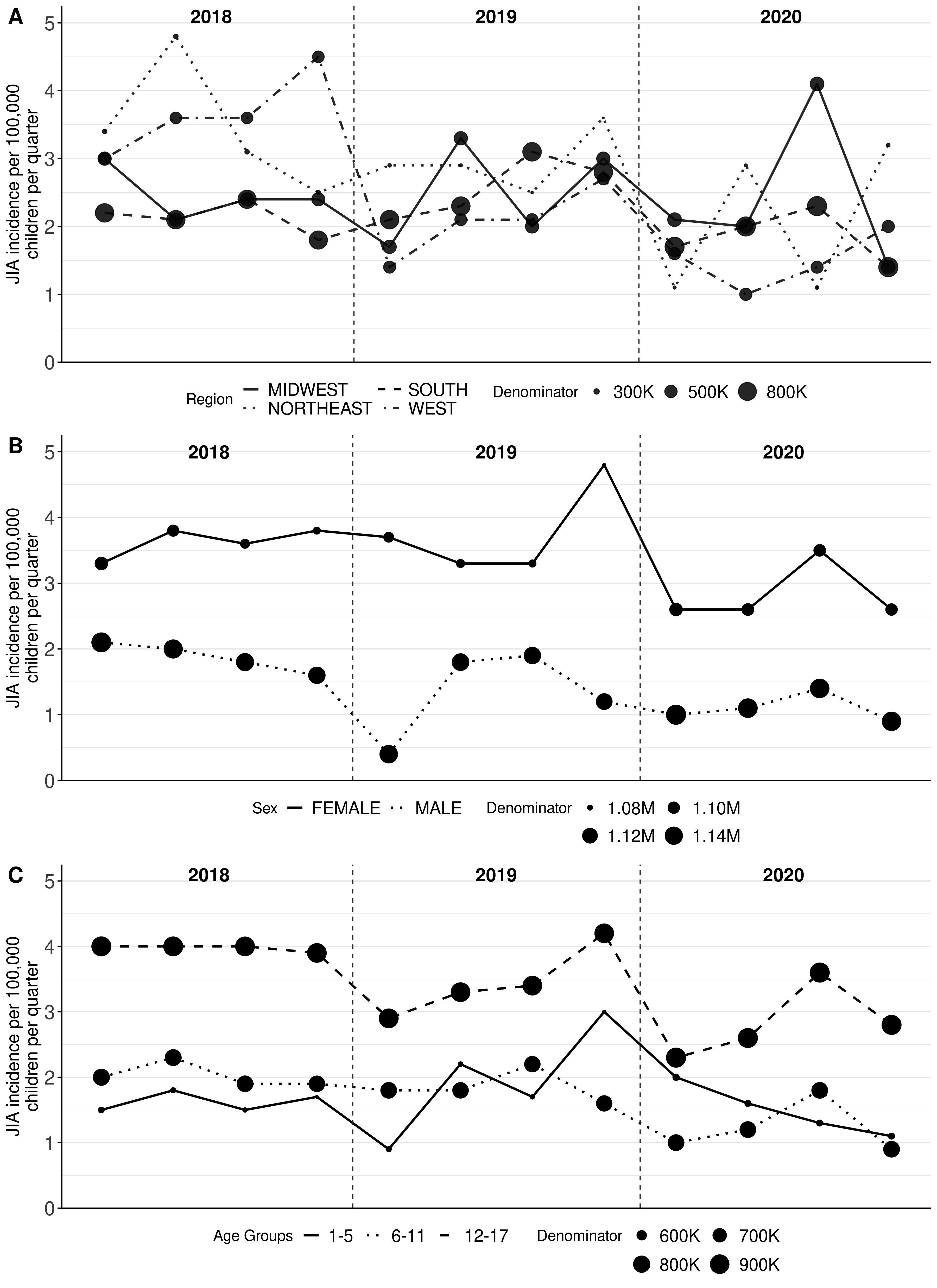
Figure 1. Quarterly rates of JIA diagnosis before and during the pandemic.
Figure 2. Quarterly rates of JIA diagnosis before and during the pandemic, stratified by region, sex, and age group.