Poster Session B
Rheumatoid arthritis (RA)
Signe Møller-Bisgaard, MD, PhD
Rigshospitalet, Copenhagen Center for Arthritis Research, Center for Rheumatology and Spine Diseases
Glostrup, Denmark
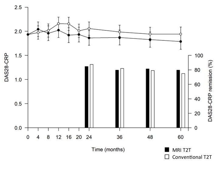
Table: Group estimates are presented as no. (%) for dichotomous data and least squares means (SE) for continuous data. For the primary endpoint, adjusted odds ratio and 95%CI between groups were calculated from a logistic regression model including a fixed factor for treatment arm, and an adjustment for propensity score as a covariate. For endpoints with continuous data, least squares mean differences between groups were calculated based on repeated-measures mixed linear models adjusted for baseline values and propensity scores. 1Missing data for one patient in the conventional T2T group.
Figure: Absolute scores from baseline to 5 years in DAS28-CRP and proportions in remission Illustrating the trajectory of absolute scores from baseline to month 60 (i.e. 5 years) in DAS28-CRP based on a mixed model with an adjustment for baseline and propensity scores, as well as proportions in DAS28 remission over time for each group, with non-responder imputation.