Abstract Session
Osteoarthritis (OA) and related disorders
Bella Mehta, MD, MS, MBBS
Hospital for Special Surgery, Weill Cornell Medicine
NEW YORK, NY, United States
Table 1: Synovial Histology features described in Osteoarthritis (OA) Samples.
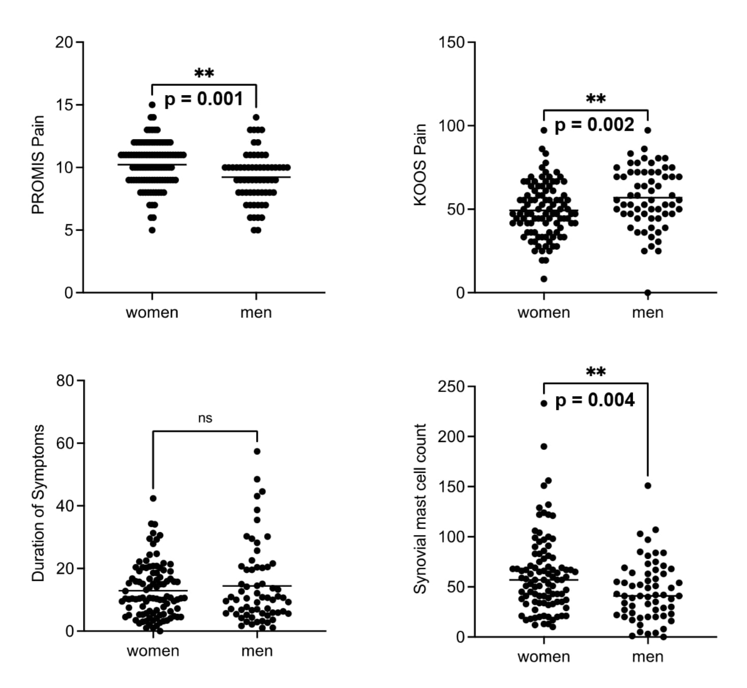
Figure 1: Comparison of PROMIS Pain, KOOS pain, Symptom Duration and Synovial Mast cell counts between n=157 patients (61 men and 96 women) at the time of total knee arthroplasty.
Figure 2: Comparing Tryptase levels in Serum (n= 49 for men and 91 for women) and Synovial fluid (n= 61 for men and 87 for women) between men and women perioperatively.