Poster Session D
Crystal arthropathies
Keigo Hayashi, MPH
Brigham and Women's Hospital
Brookline, MA, United States
Table 1. Baseline characteristics by prophylaxis groups before and after propensity score weighting (matching
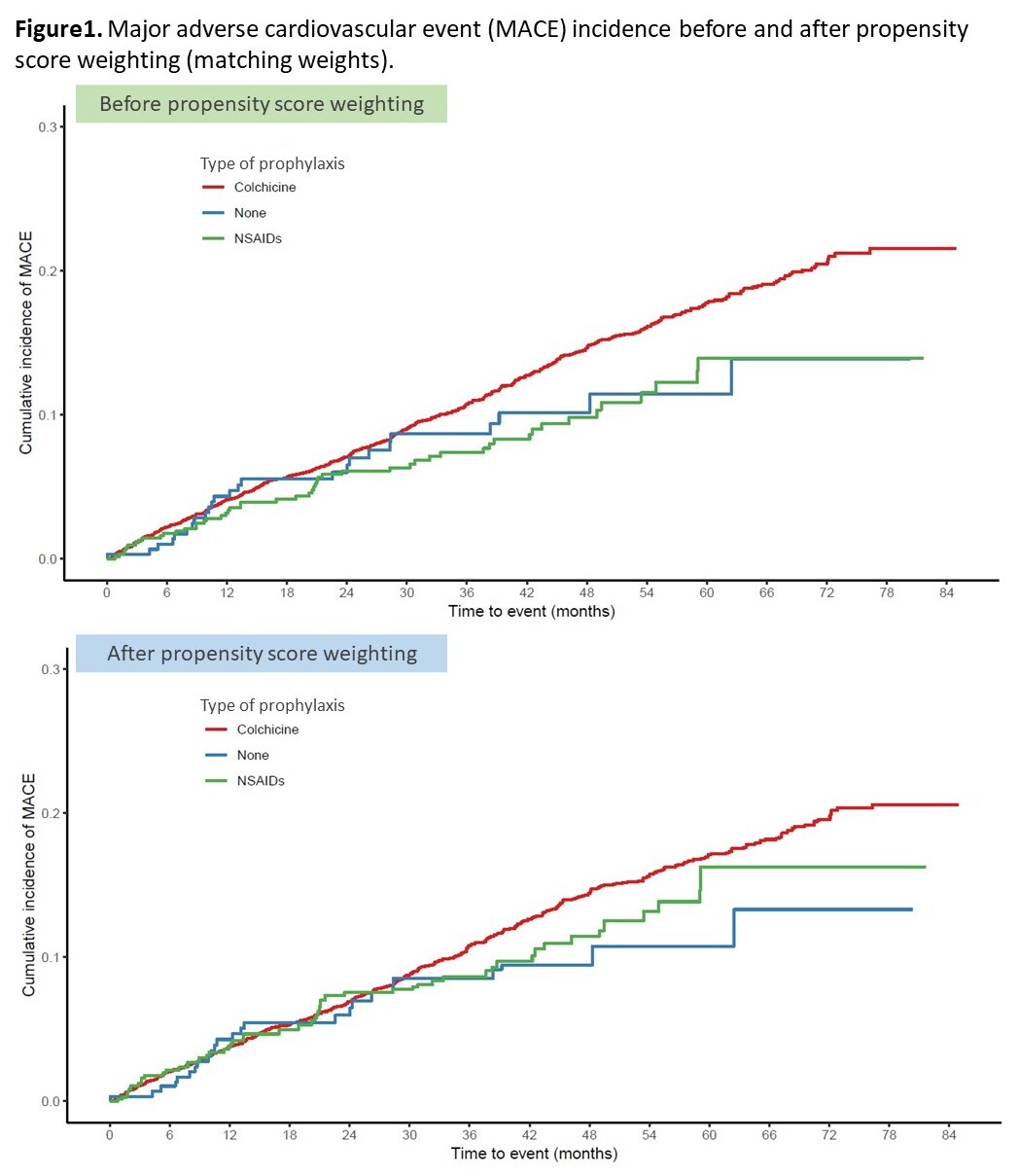
Figure 1. Major adverse cardiovascular event incidence before and after propensity score weighting (matching weights).
Figure 2. Typical prophylaxis duration.