Poster Session A
Epidemiology, health policy and outcomes
Gabriel Figueroa-Parra, MD
Mayo Clinic
Rochester, MN, United States
Table 1. Trends of provided preventive services in patients with and without systemic lupus erythematosus (SLE) in the Lupus Midwest Network cohort between 2015 and 2020.
Table 2. Trends of vaccine uptake in patients with and without systemic lupus erythematosus (SLE) in the Lupus Midwest Network cohort between 2015 and 2020.
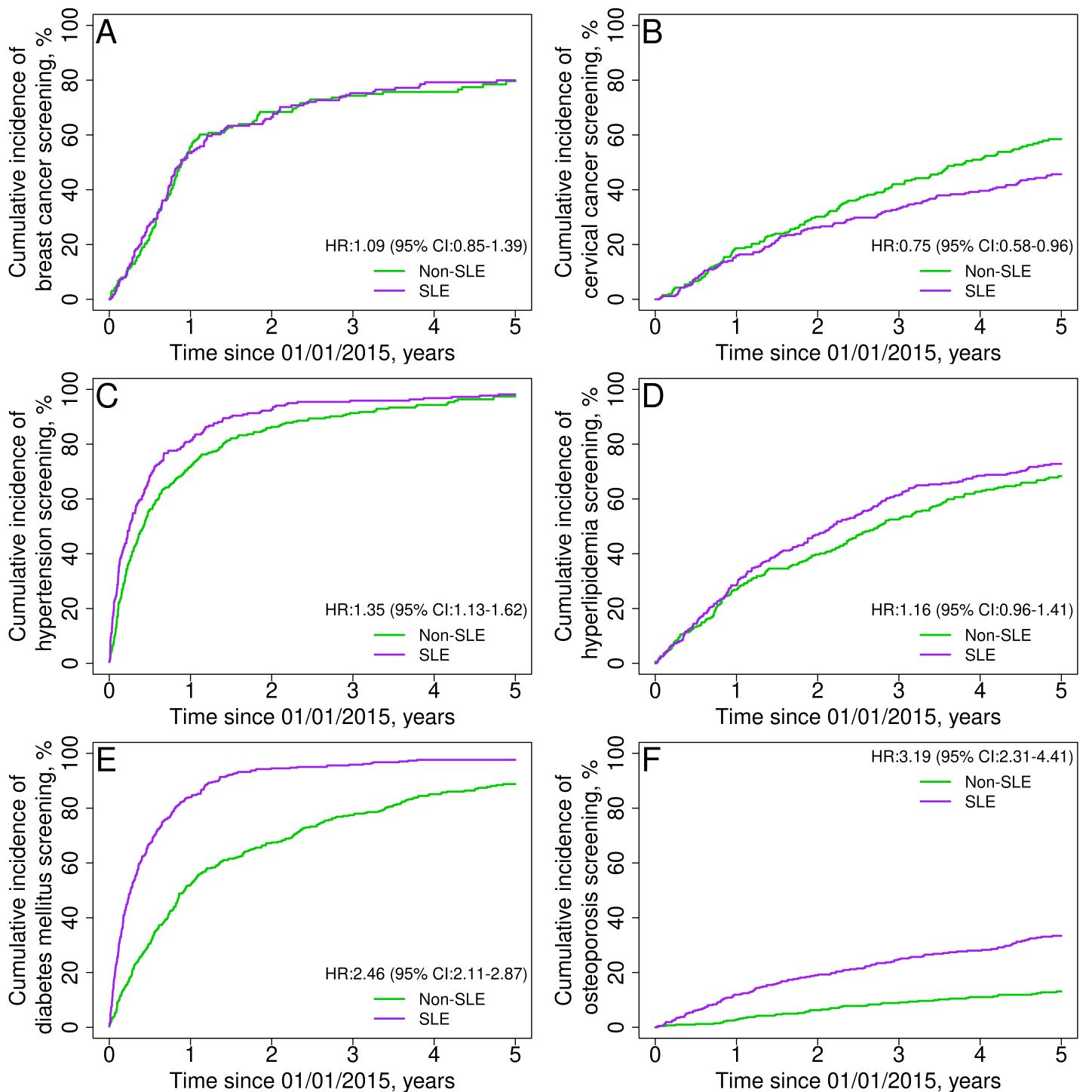
Figure 1. Trends and probability of receiving preventive services among systemic lupus erythematosus patients (purple line) and their comparators (green line) in the Lupus Midwest Network registry. Cumulative incidence of A) breast cancer screening by mammograms; B) cervical cancer screening with Pap smear or HPV test; C) hypertension screening by office blood pressure assessment; D) hyperlipidemia screening by blood lipids testing; E) diabetes mellitus screening by blood glucose testing and F) osteoporosis screening by DXA. Hazard ratios were adjusted for age, sex, and race; those for breast and cervical cancer were adjusted for age and race.