Poster Session C
Metabolic bone disease
Bjoern Buehring, MD
Bergisches Rheuma-Zentrum
Wuppertal, Germany
Table 1: Study population characteristics
Example of the differences between DXA BMD T-Score (top) and TBS (bottom) in the same patient with DISH
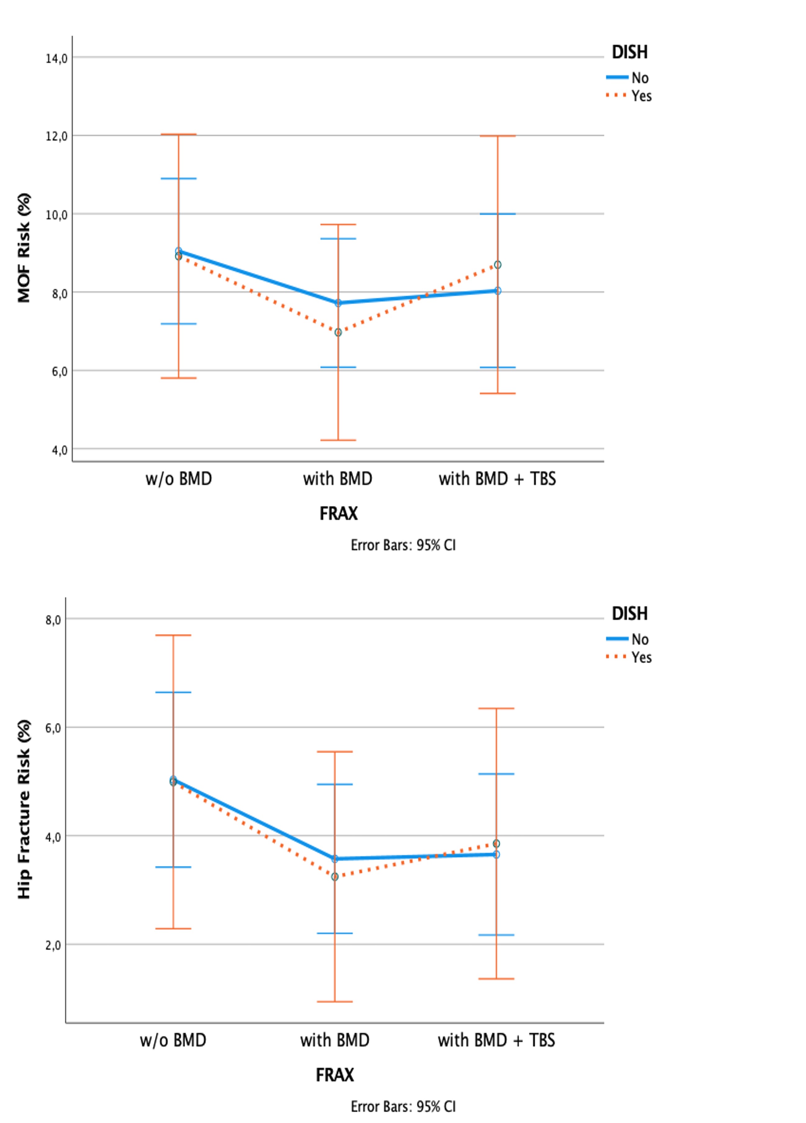
Change in FRAX® fracture risk for MOF (top) and hip fractures (bottom) in men w/wo DISH depending on BMD and TBS inclusion