Poster Session C
Genetics, genomics and proteomics
Shudan Wang, MD, MS
Albert Einstein College of Medicine
New York, NY, United States
Figure 1: Heat map of urinary complement proteins
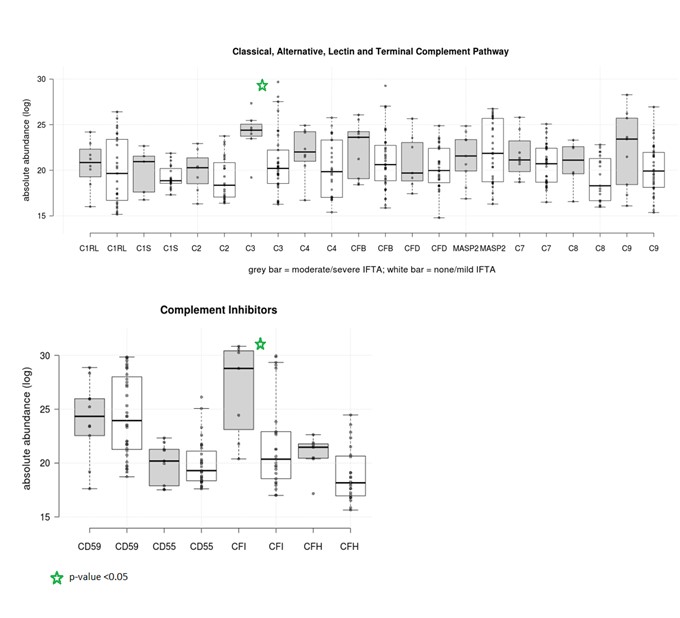
Figure 2: Comparison of Complement Components and Inhibitors between LN Patients with None-to-Mild IFTA and Moderate-to-Severe IFTA.
References: