Poster Session D
Gabriel Figueroa-Parra, MD
Mayo Clinic
Rochester, MN, United States
Table 1. Burden of multimorbidity (MM2+) and substantial multimorbidity (MM5+) among patients with systemic lupus erythematosus (SLE) and matched comparators at SLE classification. OR = odds ratio
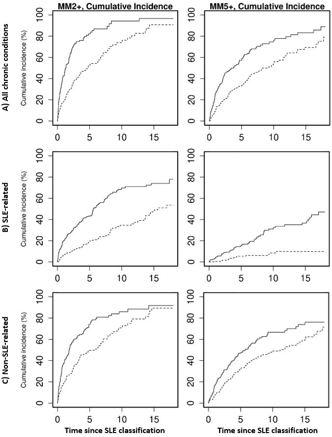
Figure 1. A) Cumulative incidence of multimorbidity (MM2+) and substantial multimorbidity (MM5+) among patients with systemic lupus erythematosus (SLE; solid line) after diagnosis and matched comparators (dashed line). B) MM2+ and MM5+ given by chronic conditions related to SLE and C) by conditions not traditionally related to SLE. Cox models adjusted for age, sex, and calendar year.