Imke Redeker1, Nils Gildemeister2, Ioana Andreica3, David Kiefer4, Xenofon Baraliakos5, Juergen Braun4 and Uta Kiltz4, 1Rheumazentrum Ruhrgebiet Herne, Ruhr University Bochum, Bochum, Germany, 2Ruhr University Bochum, Bochum, Germany, 3Rheumazentrum Ruhrgebiet, Ruhr-Universität-Bochum, Herne, Germany, 4Rheumazentrum Ruhrgebiet, Herne, Germany, 5Rheumazentrum Ruhrgebiet Herne, Herne, Germany
Background/Purpose: The main goal of treatment for patients (pts) with rheumatoid arthritis (RA) is remission to preserve physical function and prevent radiographic damage. However, less than 50% of pts with early RA have achieved remission in clinical studies and inception cohorts (1). Little is known about the course of disease and the clinical patterns when remission is tried to be achieved in pts with RA.
Methods: To identify subgroups with distinct trajectories of DAS28-CRP in pts with RA. Longitudinal data from adult RA pts presenting to a tertiary centre were used. Socio-demographic data, disease characteristics and standard assessments including established outcome parameters for disease activity (DAS28-CRP) and physical function (FFbH) were retrospectively analysed. Group-based trajectory modelling (GBTM) was used to identify homogeneous classes of DAS28-CRP trajectories, where the number of classes was selected using Nagin's Bayesian information criterion (BIC). Differences between the identified classes and clinical variables were studied.
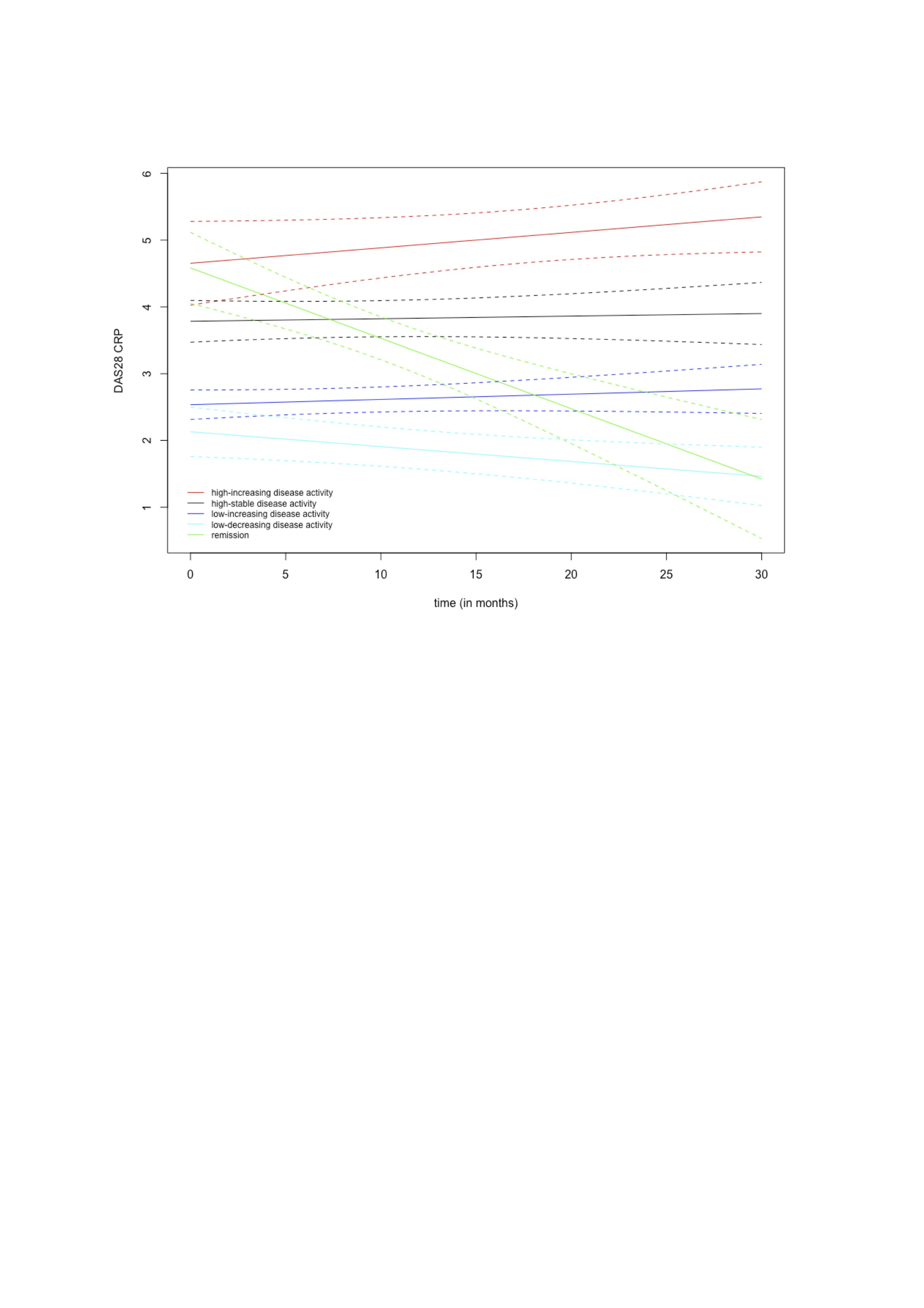
Results: Data of 134 pts with 849 DAS28-CRP values were analysed. Retrospective chart data were available for a follow-up of 33.7 (SD 18.0) months. One third of pts already had erosions and severe limitations in physical functioning. About half of the pts were on bDMARDS and < 20% on steroids. Five distinct classes of DAS28-CRP trajectories were identified (Figure 1). These groups were subsequently categorized as 1) high-increasing, 2) high-stable, 3) low-increasing, 4) low-decreasing disease activity, and 5) remission. Pts' characteristics at baseline in each trajectory group are shown in Table 1. Group 4 had a shorter disease duration but more erosions, a better function and a higher educational level than seen in other groups. The increase of disease activity in group 3 was modest.
Conclusion: Using GBTM five distinct trajectories in pts with RA were identified. Only a small proportion of pts showed a reduction in disease activity over time, whereas the largest proportion of pts showed rather constant high or constant low disease activity. The cohort size may have impacted the modelling and further analyses in larger cohorts are needed. Importantly, even though well established in our hospital it is unclear how consequent the T2T strategy was followed and which intervention was successful to reach remission. The impact of pts global assessment on DAS28 values also needs further study.
References: [1] Nikiphorou Rheumatol 2020 Patients demographics and disease characteristics at baseline in trajectory groups
Longitudinal DAS-28-CRP in trajectory groups Disclosures: I. Redeker, None; N. Gildemeister, None; I. Andreica, None; D. Kiefer, Novartis, AbbVie/Abbott, Boehringer-Ingelheim, Janssen, UCB, Pfizer; X. Baraliakos, AbbVie, Lilly, Galapagos, MSD, Novartis, Pfizer, UCB, Bristol-Myers Squibb, Janssen, Roche, Sandoz, Sanofi; J. Braun, None; U. Kiltz, AbbVie, Amgen, Biogen, Fresenius, GSK, Hexal, Novartis, Pfizer, Biocad, Lilly, Grünenthal, Janssen, MSD, Roche, UCB.