Poster Session B
Mike Putman, MD, MSc
The Medical College of Wisconsin
Milwaukee, WI, United States
Table 1: Characteristics associated with publication in study RCTs
Figure 1 (A): Outcome of Rheumatology RCTs, Stratified by Disease State; Figure 1 (B): Publication Status of Rheumatology RCTs, Stratified by Disease State
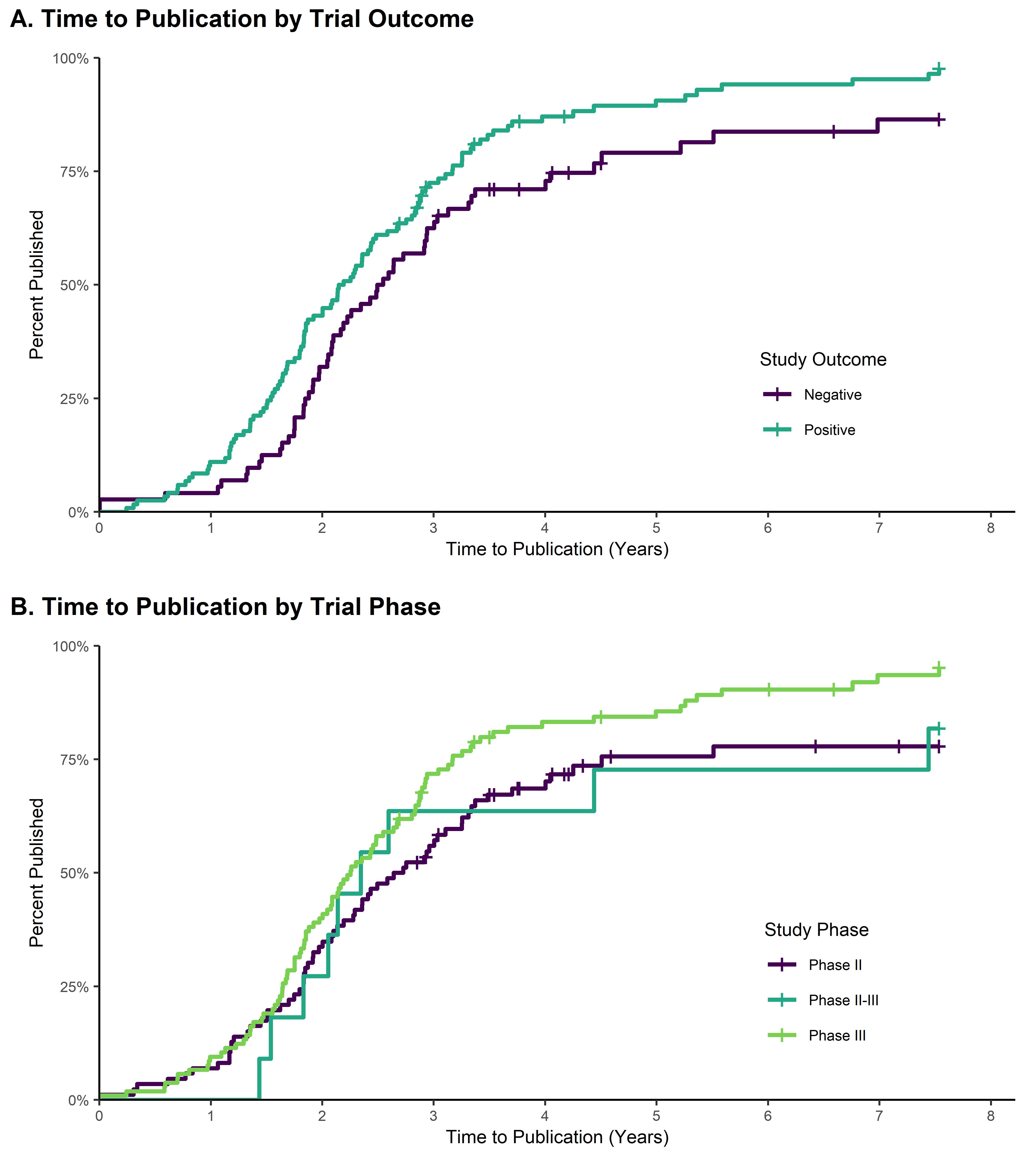
Figure 2 (A): Time to Publication by Trial Outcome; Figure 2 (B): Time to Publication by Trial Phase